Evaluare tehnica europeana ETA-05/0037 THERMO HANF COMBI JUTE, STEP
Tip documentatie: Certificare produs
Salvează pdf
Full screen
Evaluare Tehnică
Europeană
ETA-05/0037
din 29 octombrie 2021
Versiunea în engleză pregătită de DIBt – Versiunea originală în limba germană.
Partea generală
Organism de Evaluare Tehnică care
emite prezenta Evaluare Tehnică
Europeană:
Numele comercial al produsului pentru
construcții
Familia de produse
căreia îî aparține produsul
Manufacturer
Unitatea de producție plant
Prezenta Evaluare Tehnică
Europeană conține
Prezenta Evaluare Tehnică Europeană a
fost întocmită în conformitate cu
Regulamentul (UE) nr. 305/2011, pe baza a
Prezenta versiune înlocuiește
Z84729.21
Deutsches Institut für Bautechnik
"THERMO HANF PREMIUM", "THERMO HANF
PREMIUM PLUS" și "THERMO HANF COMBI JUTE"
Material izolant fabricat din fibre de cânepă sau cânepă
și iută, cu fibre liant pe bază de PET sau PLA
HempFlax Building Solutions GmbH
Industriestraße 2
86720 Nördlingen
GERMANIA
HempFlax Building Solutions GmbH
Industriestraße 2
86720 Nördlingen
germania
7 pagini,
inclusiv 1 anexă ce face parte integrantă din
aceasta
EAD 040005-00-1201
ETA-05/0037 emisă pe 2 noiembrie 2018
8.12.01-24/21
Evaluare Tehnică Europeană
ETA-05/0037
Traducere în română deNaturalpaintDIBt
Pagina 2 din 7 | 29 octombrie 2021
Prezenta Evaluare Tehnică Europeană este întocmită de către Organismul de Evaluare Tehnică în limba
sa originală. Traducerile acesteia vor respecta întocmai originalul și vor fi identificate ca atare.
Comunicarea prezentei Evaluări Tehnice Europene, inclusiv prin mijloace electronice, se va face în
integralitatea documentului. Cu toate acestea, reproducerea parțialp este permisă numai cu acordul în
scris al Oganismului de Evaluare Tehnică emitent. Orice reproducere parțială va fi identificată ca atare.
Prezenta Evaluare Tehnică Europeană poate fi retrasă de către Oganismul de Evaluare Tehnică emitent,
în special în urma informațiilor ComisieI în conformitate cu articolul 25(3) din Regulamentul (UE) nr.
305/2011
.
Z84729.21
8.12.01-24/21
Evaluare Tehnică Europeană
ETA-05/0037
Traducere în română deNaturalpaintDIBt
Pagina 3 din 7 | 29 octombrie 2021
Partea specifică
1
Descrierea tehnică a produsului
Prezenta Evaluare Tehnică Europeană se aplică materialelor de izolare denumite după cum
urmează:
"THERMO HANF PREMIUM" și "THERMO HANF PREMIUM PLUS fabricat din fibre de cânepă,
precum și "THERMO HANF COMBI JUTE" facricat din fibre ce cânepă și iută.
Alte nume comerciale pentru denumirile menționate sunt specificate în Anexa 1 la prezenta.
În cele ce urmează, sunt utilizate numai denumirile de "THERMO HANF PREMIUM", "THERMO
HANF PREMIUM PLUS" și "THERMO HANF COMBI JUTE" pentru a distinge între materialele
de izolare.
Materialele de izolare conțin fibre liant polimerice și biopolimerice, care sunt întărite termic în
timpul procesului de producție.
În timpul procesului de producție, produsul este prevăzut cu protecție ignifugă.
Materialul de izolare este fab
ricat sub formă de saltele cu următoarele dimensiuni:
Grosime nominală:
de la minimum 30 mm la 220 mm maximum
Lungime nominală:
de la 1200 mm la 2400 mm
Lățimi nominale:
625 mm sau 580 mm
Pentru grosimi nominale de la 30 mm la 80 mm, materialul de izolare este fabricat și sub formă
de rulouri. Materialul de izolare nu este acoperit.
Prezenta Evaluare Tehnică Europeană a fost emisă pentru produs în baza informațiilor / a
datelor agreate depuse la Deutsches Institut für Bautechnik, care identifică produsul evaluat.
Prezenta Evaluare Tehnică Europeană se aplică exclusiv produselor ce corespund acestor
informații / date agreate.
2
Specificație cu privire la utilizarea indicată în conformitate cu Documentul de Evaluare
Europeană (EAD)
Neexpus la sarcini de compresie, materialul de izolare poate fi utilizat după cum urmează:
izolarea golurilor la pereți exteriori și interiori la construcții pe structură din lemn sau structuri
similare
izolarea perețilo
r exteriori în interiorul structurii suport
izolarea între căpriori și grinzi precum și în golurile corespunzătoare
izolarea tavanelor de la ultimul etaj care nu sunt circulabile, dar sunt totuși accesibile
izolarea la interior a tavanelor și acoperișurilor, e.g. izolarea sub structura de susținere (e.g.
căpriori), tavane suspendate
izolarea golurilor din substructura pardoselilor flotante.
Z84729.21
8.12.01-24/21
Evaluare Tehnică Europeană
ETA-05/0037
Traducere în română deNaturalpaintDIBt
Pagina 4 din 7 | 29 octombrie 2021
Performanțele înregistrate în secțiunea 3 se aplică doar atunci când materialele de izolare sunt
montate în conformitate cu instrucțiunile de instalare ale producătorului și dacă sunt protejate de
precipitații, umiditate și intemperii atât după ce au fost montate, cât și în timpul transportului, al
depozitării și al instalării.
În ceea ce privește montajul materialelor de izolare, se vor respecta și reg
lementările naționale.
Valoarea de proiectare a conductivității termice se va stabili în conformitate cu reglementările
naționale relevante.
3
Performanța produsului și informații privind metodele utilizate în evaluare
Pentru eșantionare, condiționare și testare, se aplică prevederile EAD nr. 040005-00-1201
„Produse de izolare termică și/sau fonică fabricate din fibre vegetale sau animale”.
3.1
3.2
3.3
Siguranța la foc (BWR 2)
Caracteristică esențială
Performanță
Reacția la foc
test cf. EN ISO 11925-2:2010
Clasa E
cf. EN 13501-1: 2018
Igienă, sănătate și mediu (BWR 3)
Caracteristică esențială
Performanță
Rezistența la fungi și mucegai,
test cf. EAD „Produse de izolare termică și/sau
fonică fabricate din fibre vegetale sau animale”,
anexa B
Nivel evaluare 0 cf.
EN ISO 846:1997
Economia de energie și retenția de căldură (BWR 6)
Caracteristică esențială
Conductivitatea termică la o temperatură de
referință de 10 °C
te
st cf. EN 12667:2001
"THERMO HANF PREMIUM"
1
Z84729.21
Performanță
Valori declarate pentru un conținut
de umiditate al izolației la 23 °C și
50 % umiditate relativă: 1
D(23,50) = 0,041 W/(m·K)
"THERMO HANF PREMIUM PLUS"
D(23,50) = 0,043 W/(m·K)
"THERMO HANF COMBI JUTE"
D(23,50) = 0,040 W/(m·K)
Valoarea declarată este reprezenattivă pentru un procent de cel puțin 90% din producție, cu un nivel de încredere de
90%, și se aplică la gama de densități specificate în secțiunea 3.3.
8.12.01-24/21
Evaluare Tehnică Europeană
ETA-05/0037
Traducere în română deNaturalpaintDIBt
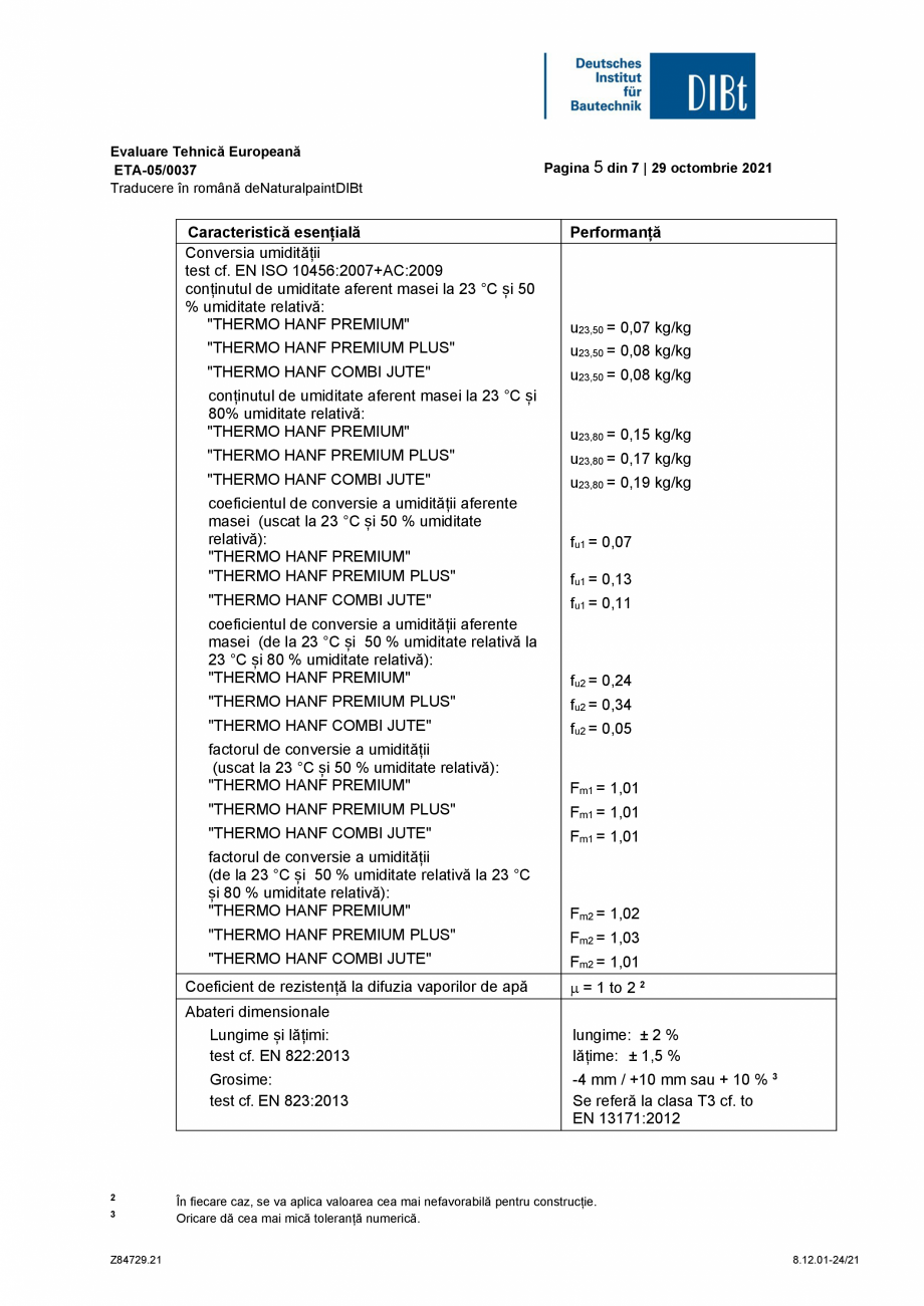
Caracteristică esențială
Conversia umidității
test cf. EN ISO 10456:2007+AC:2009
conținutul de umiditate aferent masei la 23 °C și 50
% umiditate relativă:
"THERMO HANF PREMIUM"
3
Z84729.21
Performanță
"THERMO HANF PREMIUM PLUS"
u23,50 = 0,07 kg/kg
u23,50 = 0,08 kg/kg
"THERMO HANF COMBI JUTE"
u23,50 = 0,08 kg/kg
conținutul de umiditate aferent masei la 23 °
st cf. EN 12667:2001
"THERMO HANF PREMIUM"
1
Z84729.21
Performanță
Valori declarate pentru un conținut
de umiditate al izolației la 23 °C și
50 % umiditate relativă: 1
D(23,50) = 0,041 W/(m·K)
"THERMO HANF PREMIUM PLUS"
D(23,50) = 0,043 W/(m·K)
"THERMO HANF COMBI JUTE"
D(23,50) = 0,040 W/(m·K)
Valoarea declarată este reprezenattivă pentru un procent de cel puțin 90% din producție, cu un nivel de încredere de
90%, și se aplică la gama de densități specificate în secțiunea 3.3.
8.12.01-24/21
Evaluare Tehnică Europeană
ETA-05/0037
Traducere în română deNaturalpaintDIBt
Caracteristică esențială
Conversia umidității
test cf. EN ISO 10456:2007+AC:2009
conținutul de umiditate aferent masei la 23 °C și 50
% umiditate relativă:
"THERMO HANF PREMIUM"
3
Z84729.21
Performanță
"THERMO HANF PREMIUM PLUS"
u23,50 = 0,07 kg/kg
u23,50 = 0,08 kg/kg
"THERMO HANF COMBI JUTE"
u23,50 = 0,08 kg/kg
conținutul de umiditate aferent masei la 23 °
... ascunde
Alte documentatii ale aceleasi game Vezi toate
Certificare produs
1 p | RO
COMBI JUTE
Certificare produs
6 p | RO
COMBI JUTE