Avantajele sistemului de impermeabilizare integrala a betonului Penetron PENETRON PENETRON ADMIX, PENETRON, PENETRON PLUS
Ad
dvant
tages of th Pe
s
he enetron® Integr
ral
Wa
aterproofing Sy m with a fo
ystem
ocus on
Penetr ® Admix
ron A
Conte
ents
1.
roduction ...................................... ..................
....................................
............................ 4
Intr
2.
Pro
oblems asso
ociated with concrete w
h
waterproofin ...............................
ng
............................ 4
2.1.
Corrosion .................................. ..................
n
....................................
............................ 5
2.2.
Carbonation .............................. ..................
....................................
............................ 6
2.3.
Cracking ................................... ..................
....................................
............................ 6
2.3
3.1.
Plast shrinkage cracking . ..................
tic
....................................
............................ 6
2.3
3.2.
Dryin shrinkage ...............
..................
ng
e
....................................
............................ 7
2.3
3.3.
Thermal cracks .................. ..................
....................................
............................ 7
2.3
3.4.
D-Cr
racking ........................ ..................
....................................
............................ 7
2.4.
2.5.
Damage d to freez
due
ze-thaw cyc
cles ............
....................................
............................ 9
2.6.
Concrete deterioratio due to ch
on
hemical atta ..............................
ack
.......................... 10
2.7.
Sulfate at
ttack ............................ ..................
....................................
.......................... 11
2.8.
3.
Alkali Silic Reaction (ASR) ..... ..................
ca
n
....................................
............................ 8
Concrete structures in marine e
environment .................................
ts
.......................... 11
aterproofing with Penet
g
tron Admix ..................
....................................
.......................... 12
Wa
3.1.
How it wo
orks ............................. ..................
....................................
.......................... 12
3.2.
Features and benefit of Penetr Admix ..
ts
ron
....................................
.......................... 13
3.2
2.1.
Perm
manent conc
crete protec
ction ...........
....................................
.......................... 13
3.2
2.2.
Self-healing con
ncrete ......... ..................
....................................
.......................... 14
3.2
2.3.
Corro
osion protec
ction of rein
nforcement steel with Penetron Ad
P
dmix................... 16
3.2
2.4.
Prote
ection again chloride penetration ..................................
nst
n
.......................... 17
3.2
2.5.
Prote
ection again carbona tion ............
nst
....................................
.......................... 19
3.
2
2.6.
Crack bridging ability of Pe netron .......
a
....................................
.......................... 19
3.2
2.7.
Incre
ease in compressive str
rength ........
....................................
.......................... 22
3.2
2.8.
Resis
stance agai
inst high wa pressur ................................
ater
re
.......................... 22
3.2
2.9.
Chem
mical resista
ance .......... ..................
....................................
.......................... 25
3.2
2.10. Resis
stance to fre
eeze-thaw c
cycles ........
....................................
.......................... 28
3.2
2.11. Compatibility wit common ly-used con
th
ncrete mix designs (Pe
d
enetron Adm .. 28
mix)
3.2
2.12. Preve
ention of Alkali-Silica-R
Reaction (A
ASR) .............................
.......................... 29
3.2
2.13. Limitations ......................... ..................
....................................
.......................... 29
3.2
2.13.1.
Co joints ..
.................... ..................
old
....................................
.......................... 30
3.2
2.13.2.
Ac
ctive leaks .................... ..................
....................................
.......................... 30
3.2
2.13.3.
Co
oncrete defe ............ ..................
ects
....................................
.......................... 30
Page | 1
3.2
2.13.4.
Str
ructural crac ............ ..................
cks
....................................
.......................... 30
3.2
2.13.5.
Ex
xposed conc
crete structu
ures (therm cracks)....................
mal
.......................... 30
4.
At one glance - Benefit ov
verview ..... ..................
....................................
.......................... 31
5.
omparison o Penetron products w other wa
of
with
aterproofing systems ..
g
.......................... 32
Co
5.1.
6.
Comparis between Penetron and hydrop
son
n
phobic pore blockers ...
..........................
34
Application ins
structions – Penetron A
Admix ........
....................................
.......................... 35
6.1.
Descriptio ................................ ..................
on
....................................
.......................... 35
6.2.
Dosage R ............................. ..................
Rate
....................................
.......................... 36
6.3.
Mixing ....................................... ..................
....................................
.......................... 36
6.3
3.1.
Read Mix Plant – Dry Batc Operatio .................................
dy
ch
on
.......................... 36
6.3
3.2.
Read Mix Plant - Central M Operation ...............................
dy
Mix
.......................... 36
6.3
3.3.
Preca Batch Plant ........... ..................
ast
P
....................................
.......................... 36
6.3
3.4.
Tech
hnical Servic ............ ..................
ces
...................
.................
.......................... 36
6.4.
Setting tim and stre
me
ength .......... ..................
....................................
.......................... 37
Limitations ............................. ..................
....................................
.......................... 37
6.5
5.
7.
Application ins
structions – Penetron . ..................
....................................
.......................... 37
7.1.
Descriptio ................................ ..................
on
....................................
.......................... 37
7.2.
Consump
ption ............................ ..................
....................................
.......................... 37
2.1.
7.2
Cons
struction sla ............. ..................
abs
....................................
.......................... 37
7.2
2.2.
Cons
struction join ............. ..................
nts
....................................
.......................... 38
7.2
2
.3.
Blind
ding concret ............... ..................
te
....................................
.......................... 38
7.3.
Surface P
Preparation.................. ..................
....................................
.......................... 38
7.4.
Mixing ....................................... ..................
....................................
.......................... 38
7.5.
Applicatio ................................ ..................
on
....................................
.......................... 38
7.5
5.1.
Slurr consisten ............. ..................
ry
ncy
....................................
.......................... 38
7.5
5.2.
Dry p
powder consistency (fo horizontal surface on .............
or
nly)
.......................... 38
7.6
6.
8.
Post tre
eatment ....................... ..................
....................................
.......................... 38
Application ins
structions – Penetron P
Plus ...........
...........
.........................
.......................... 39
8.1.
8.2.
Coverage .................................. ..................
e
....................................
.......................... 39
8.3.
Applicatio Procedur ............. ..................
on
res
....................................
.......................... 39
8.4.
Curing ....................................... ..................
....................................
.......................... 40
8.5.
9.
Descriptio ................................ ..................
on
....................................
.......................... 39
Technical Services ................... ..................
....................................
.......................... 40
Co
ontact and D
Disclaimer.................... ..................
....................................
.......................... 40
Page | 2
Table o Figures
of
n
....................................
............................ 5
Figure 1 C
orrosion stages ....................... ..................
Figure 2 Example of plastic sh
hrinkage cra
acks ...........
....................................
............................ 8
Figure 3 Example of drying sh
hrinkage cra
acks ...........
....................................
............................ 8
Figure 4 Example of thermal cracking .... ..................
c
....................................
............................ 8
Figure 5 Example of D-crackin .............. ..................
ng
....................................
............................ 8
Figure 6 Scanning electron microscope i mage of chert aggrega particle w numerous
ate
with
internal cracks due to ASR; cr
e
racks exten into the adjacent cem
nd
a
ment paste ........................... 9
aggregate showing alk
s
kali-silica ge extruded into cracks within the concrete.
el
c
Figure 7 Detail of a
Ettringit is also pr
te
resent within some cra cks ............
....................................
......
...................... 9
Figure 8 Examples of ASR da
s
amage ........ ..................
....................................
............................ 9
Figure 9 Example of freeze-th
haw damage on roads and bridge decks ........
e
.......................... 10
Figure 1 Example of concret damage c
10
e
te
caused by chemical attack ...........
c
.......................... 11
Figure 1 How Pen
11
netron work ............... ..................
ks
....................................
.......................... 13
Figure 1 Scanning Electron Microscope Photograp of Penetr crystals ......................... 13
12
M
e
ph
ron
s
Figure 1 Test setup, MFPA Leipzig, Ger
13
L
rmany, 200 .................................
06
.......................... 14
Figure 1 Water flo through 0.2mm cra ck at water pressures of 0.1, 0.5 a 1.0 bar ....... 15
14
ow
and
r
Figure 1 Water flo through 0.25mm cr
15
ow
rack at wate pressures of 0.1, 0.5 and 1.0 ba ..... 15
er
s
5
ar
Figure 1 Excerpt: Permeability of Pen
et
16
tron-Admix-treated con
ncrete vs. co
ontrol samp
ple
(ENCO, 2006) ......................................... ..................
....................................
.......................... 17
17
ASHTO-T-2
277: Shimel and
Figure 1 Excerpt: Chloride permeability of Penetron Admix (AA
Sor, US 2005) ...................................... ..................
SA,
....................................
.......................... 18
Figure 1 Excerpt: Results of the rapid c hloride penetration tes at Sardar Patel, India 2009
18
st
a,
................................................................ ..................
....................................
.......................... 18
19
h
rtocel, Aracruz, Brazil..
.......................... 19
Figure 1 Seawall treated with Penetron Admix, Por
Figure 2 The Cap Miami Bay, USA. B
20
pri,
Basement st
tructure trea
ated with Pe
enetron Adm ... 19
mix
Figure 2 Backsca
21
attered Elec
ctron Image (BEI) of Pe
enetron crys
stals formin g in a crack .
..... 20
k.
Figure 2 Needle-l
22
like, elonga
ated Penetro forming in the crack ...............
on
i
ks
.......................... 20
Figure 2 Excerpt: Permeability results o cracked concrete sam
23
of
c
mples treate with Pen
ed
netron
................................................................ ..................
....................................
.......................... 21
Figure 2 OFI sam
24
mple set-up (Penetron “
“sandwich-s
system”) ......................
.......................... 21
Figure 2 Excerpt: Test result for Penet
25
ts
tron Admix under 20 ba head wat pressure
ar
ter
e,
Univers of Bolog
sity
gna, Italy, 20 ........... ..................
005
....................................
.......................... 25
Figure 2 University of Bologn Chemic resistanc test - Tes set up .....
26
na:
cal
ce
st
.......................... 26
Figure 2 University of Bologn Chemic resistanc test - results ............
27
na:
cal
ce
.......................... 27
Figure 2 Milan S
o
28
outh Waste Water Trea
atment Plan Italy .........................
nt,
.......................... 28
Figure 2 SABESP Sewage Treatment P
29
P
T
Plant, Brazil ...................................
l
.......................... 28
Page | 3
1. Intr
roduction
on
concrete ca
apillary wate
erproofing systems are being used for more than
d
Penetro integral c
three de
ecades to e
effectively waterproof a protect concrete structures aro
w
and
ound the wo
orld.
This do
ocument exp
plains the most commo problems associated with conc
m
on
s
crete structu in
ure
contact with water and under different en
nvironmenta conditions
al
s.
xt
aborates on how to add
n
dress and prevent thes problems with the help of
p
se
s
The tex further ela
®
Penetro integral concrete capillary wat
on
terproofing systems in order to en
nhance the
durability of concre and effe
ete
ectively prot
tect structur
res.
oblems associated wit concrete waterpro
th
e
oofing
2. Pro
ost
nly-used ma made co
an
ons
truction material in t world. It
m
the
t
Concrete is the mo common
ses
vely good re
esistance to water and structural concrete ele
o
d
c
ements can be
n
possess a relativ
shaped rather easily into vario shapes and sizes. Despite its durability, c
ous
concrete – even
high-qu
uality concre
etes – is a porous mate
p
erial. Evapo
orating exce water in the hydration
ess
n
stage o the concre will leav millions o pores and capillaries in concrete Further the
of
ete
ve
of
d
s
e.
interfac transmis
cial
ssion zones (IZT) – a p of the concrete mic
s
part
c
crostructure that describes the
e
zone, w
which exists between th hydrated cement pa
he
d
aste and large particles of aggrega –
s
ate
are prone to cracking during the hardenin stage of the concret due to sh
ng
te
hrinkage,
tempera
ature stress and exte
ses
ernally appllied loads. These micro
T
ocracks in t interfaci
the
ial
transitio zone are usually larger than mo capillary cavities pr
on
e
ost
y
resent in the concrete. The
e
pores a m
icrocra
and
acks (espec
cially if inter
rconnected throughout the concre
t
ete) increase the
e
porosity of the concrete matrix and will a llow air and water to en the har
y
x
d
nter
rdened conc
crete.
This wil result in corrosion of the embedd reinforc
ll
ded
cement stee and in oth concrete
el
her
damage caused b water-bo
es
by
orne salts an chemica and furth contribut to the
nd
als
her
te
deterior
ration and w
weakening the strength of the concrete, direc affecting its durability.
t
h
ctly
g
Water (
(seawater, g
groundwate river wate lake wat snow, ic and vapo is a prim
er,
er,
ter,
ce
or)
mary
agent fo both crea
or
ation and de
estruction o concrete – and is dee
of
eply involve in nearly every
ed
form of concrete de
eterioration. Field expe
erience sho that, in order of dec
ows
creasing
importa
ance, the principal caus for dete
ses
erioration ar the corros
re
sion of reinf
forced steel,
exposure to cycles of freezing and thawin alkali-silica reaction and chem
s
g
ng,
n,
mical attac
k
k.
ach
e
es
ete
ation, the pe
ermeability and presen of
nce
With ea of these four cause of concre deteriora
water a implicate in the me
are
ed
echanisms o expansio and cracking.
of
on
oblem of porosity and cracking of c
c
concrete is increased in structures that are
i
s
The pro
constan exposed to differen loads, str
ntly
d
nt
ress redistribution and tectonic seiismic influences.
The following chap focuses on the maj deterioration cause of concre
pter
s
ajor
es
ete:
Page | 4
2.1. Corrosion
rrosion of th steel rein
he
nforcement is the most common source of dis
t
stress in concrete,
The cor
especia concrete that is located near o under water. Corrosion of steel is an
ally
e
or
electroc
chemical pr
rocess and basically is the transformation of metallic iron to rust, wh
m
n
hich is
accomp
panied by an increase in volume (w
ome cases – depending on the sta of
g
ate
which in so
oxidatio - can be as much as 600 perce of the or
on
s
ent
riginal steel) This expa
).
ansion o
f the rebar
e
is then leading to c
concrete expansion an d cracking, followed by spalling an eventually to a
y
nd
complete loss of th concrete cover. The final result will be the weakening of the struc
he
e
t
g
ctures’
h
ately its failu
ure.
strength and ultima
Corrosion can occur when two dissimilar metals are embedded into concre (such as e.g.
o
r
e
d
ete
steel an aluminum because each meta has a uni
nd
m),
e
al
ique electro
ochemical p
potential. Th
he
concret then effec
te
ctively beco
omes a batt
tery. When the metals are in conta in an ele
act
ectrolyte,
the less active met corrodes
s
tal
s.
If only o type of steel is present in the concrete, corrosion is generated b differenc in
one
c
by
ces
the concentration o dissolved ions, such as alkalies and chlorid
of
d
h
s
des. These ions are
introduc to the c
ced
concrete by water pene
etrating into the pores and microcr
a
racks.
Figure 1 Corrosion st
tages
Hydrate Portland cement contains alkallies in the pore fluid and a sufficie
nt amount of solid
ed
o
calcium hydroxide in order to maintain an alkalinity level with a pH value a
m
n
l
above 12. In an
n
alkaline environme (pH valu above 11 normal steel and ir form a t
e
ent
ue
1.5)
ron
thin, imperm
meable
and stro
ongly adher
rent iron-oxide film that makes the metals passive to cor
t
e
rrosion. How
wever,
once the alkalies a most of the calcium hydroxide have eithe carbonate or leache away,
and
m
e
er
ed
ed
einforcemen may drop below 11.5 destroying the
nt
p
5
g
the pH of the concrete surrounding the re
ty
and
g
s
nce
passivit of steel a allowing the corros ion process to start. In the presen of chloride ions
the pas
ssivating film is destroy even at pH values of above 11 The ma causes of
m
yed
1.5.
ain
o
chloride in concrete are admix
e
xtures, salt-contaminat aggrega and pen
ted
ate
netration of deicing
salt solu
utions and s
seawater.
Page | 5
2.2. Carbonatio
on
rs
rbon dioxide from the air penetrate the concr
e
a
es
rete and rea
acts
Carbon
ation occur when car
droxides, su as calcium hydrox ide, to form carbonates In the rea
uch
m
s.
action with calcium
c
with hyd
hydroxide, calcium carbonate is formed.
m
action reduc the pH of the pore solution to as low as 8.5, at which level the passive
ces
8
h
p
This rea
iron-oxide film of th steel is not stable a nd corrosion will set in.
he
n
ent
relative hum
midity of the concrete. T highest rates
The
t
Carbonation is highly depende on the r
of carbo
onation occ when the relative hu
cur
e
umidity is maintained between 50% and 75% Below
m
b
%
%.
25% rel
lative humid
dity, the deg
gree of carb
bonation tha takes place is consid
at
dered insign
nificant.
Above 7
75% relative humidity, moisture in the pores restricts CO penetrat
e
n
O2
tion. Carbon
nationinduced corrosion often occur on areas of building facades tha are expos to rainf
d
rs
at
sed
fall,
shaded from sunlig and hav low conc
ght,
ve
crete cover over the reinforcing ste
eel.
ncrete also lowers the amount of chloride ions n
eeded to promote
c
o
Carbonation of con
on.
concrete wit a pH of 1 to 13, ab
th
12
bout 7,000 to 8,000 ppm of chlorides are
o
m
corrosio In new c
required to start co
d
orrosion of embedded s
e
steel. If, how
wever, the pH is lowere to a rang of 10
p
red
ge
to 11, th chloride threshold fo corrosion is significa
he
or
n
antly lower— or below 100 ppm. Like
—at
w
rcement, bu does
chloride ions, howe
e
ever, carbonation dest
troys the pa
assive film of the reinfor
o
ut
not influ
uence the ra of corrosion.
ate
2.3. Cracking
ncrease the porosity of concrete and allow water and wa
e
f
a
ater-borne salts
s
Cracks generally in
emicals to e
enter the co
oncrete and accelerate its deterioration. Crack
king of conc
crete
and che
can hav a numbe of causes In this doc
ve
er
s.
cument we only want to focus on t most co
the
ommon
types of cracks in c
f
concrete str
ructures.
2.3.1. Plas shrinkage cracking
stic
g
cracks occu due to a r
ur
rapid loss of water from the surfac of concre
f
m
ce
ete
P
lastic shrinkage c
before i has set. T
it
This happen when the rate of eva
ns
e
aporation of surface mo
f
oisture of fr
reshly
placed concrete ex
xceeds the rate at whic bleed wa can replace it. Ten
ch
ater
nsile stresse
es
develop in the wea hardenin plastic co
p
ak,
ng
oncrete as a result of the restraint provided by the
t
b
concret below the drying sur
te
e
rface layer. Plastic shrinkage cracks are usua shallow in
ally
crack they provide
nature a do not intersect the perimeter of the slab However, like every c
and
r
b.
a possible entry-po for wate and chem
oint
er
micals into the concrete structure a as such a
t
e
and
h
e
s.
starting point of the deterioration process
Page | 6
2.3.2. Drying shrinkag
ge
As almo every co
ost
oncrete mix design con
x
ntains more water than is needed to hydrate the
e
n
cement much of th remainin water eva
t,
he
ng
aporates, causing the concrete to shrink. Res
o
straint
to shrinkage, provided by the subgrade, reinforceme or anoth part of th str
ucture
ent
her
he
e,
causes tensile stre
esses to dev
velop in the hardened concrete. Restraint to d
e
R
drying shrin
nkage is
st
oncrete crac
cking.
the mos common cause of co
ermal cracks
s
2.3.3. The
Therma cracking t
al
takes place if an exces
ssive tempe
erature difference exists within a concrete
s
c
structur or its surr
re
roundings. This differe nce in temp
T
perature cau
uses a high contraction of
her
the coo portion o
oler
over the wa
armer part o the concrete. This restrains the contraction If the
of
n.
restrain causes te
nt
ensile stress that exc
ses
ceed the pla
aced concre
ete’s tensile strength, th
e
hermal
cracks w occur. In some clim
will
mate zones thermal cra
acks can oc
ccur as a res of the
sult
atmosp
pheric tempe
erature diffe
erences. Du
uring daytim high temperatures c
me
cause the co
oncrete
to heat up and exp
pand. At night the air te
emperature falls signific
cantly and l eading to a
contrac
ction of the c
concrete ma
ass. This ca cause co
an
oncrete to cr
ack. Due t the expan
c
to
nsion
and con
ntraction of the concret in air tem
te
mperature di
ifferences th
hese cracks widen furt
s
ther
over tim
me.
Cracking
2.3.4. D-C
rm
e-thaw-cycle deteriorat
e
tion and ofte observed in concrete
en
d
D-cracking is a for of freeze
ents (usually taking pla along th joints). Water accum
ace
he
W
mulation in t base of the
the
paveme
the
concret ultimately saturates the aggrega Once fr
te
y
ate.
ree-thaw cy
ycles set in t aggrega
ate
begins to crack and subseque
ently crack o
open the co
oncrete. This process u
usually start at the
ts
esses upwar to the surface.
rds
bottom of the slab and progre
Page | 7
Figure 2 E
Example of plas
stic shrinkage c
cracks
Figur
re 3 Example of
f drying shrinka
age cracks
Figure 4 E
Example of ther
rmal cracking
Figur
re 5 Example of
f D‐cracking
2.4. Alkali Silica Reaction (ASR)
on
ommon form of alkali-a
m
aggregate re
eaction (AA –
AR)
Alkali-silica reactio (ASR) is the most co
e
r
much less co
ommon form alkali-car
m
rbonate-reaction ACR – and can cause
c
togethe with the m
serious expansion and crackin in concre resultin in major structural p
ng
ete,
ng
s
problems an
nd
sometim necess
mes
sary demolit
tion. ASR is caused by a reaction of between the hydrox ions
s
y
n
xyl
in the a
alkaline cem
ment pore so
olution in the concrete and reactive forms of s
e
silica in the
aggrega (e.g. chert, quartzit opal, stra
ate
te,
ained quart crystals). A gel is pro
tz
oduced, tha
at
increases in volum by taking up water a so exert an expan
me
g
and
ts
nsive pressu
ure, resultin in the
ng
of
.
an
n
egate particles.
failure o concrete. This gel ca occur in cracks and even within the aggre
In order for ASR to occur in co
r
o
oncrete a s ufficiently high alkali co
h
ontent of the cement (o alkali
or
e
from oth sources a reactive aggregate (e.g. cher or quartzit and fina water is needed
her
s),
e
rt
te)
ally
Page | 8
for the r
reaction. If no water is present in t c
oncret no ASR will take pla as the alkalithe
te,
w
ace
a
silica ge formation requires water.
el
n
w
The bes way to av
st
void ASR is to use non
s
n-reactive ag
ggregates, which are n always
not
availabl In this ca it is ess
le.
ase
sential for th concrete mix design to be aw
he
ner
ware of the Na2ON
equivale (in %) o all produc used in t concrete mix. This is to ensure that the Na2O
ent
of
cts
the
e
e
N
equivale value do not exc
ent
oes
ceed the acc
ceptable am
mount per m3 (usually s around
set
3.5kg/m3).
m
Figure 6 S
Scanning electro
on microscope image of chert
t
aggregate
e particle with n
numerous internal cracks due
e to
ASR; crack
ks extend into the adjacent ce
ement paste
Figure
e 7 Detail of ag
ggregate showi ng alkali‐silica gel
extruded into cracks
s within the co
oncrete. Ettring
gite is also
prese
ent within some
e cracks
Figure 8 E
Examples of ASR damage
2.5. Damage d to freeze
due
e-thaw cycl es
amage to co
onc
rete pav
vements, ret
taining walls bridge de
s,
ecks and railings
In cold climates da
able to freez
ze-thaw cyc
cles is one o the major causes for repair and maintenan
of
d
nce
attributa
works. W
Water mole
ecules are very small a therefor able to pe
v
and
re
enetrate eve the fines
en
st
concret pores and capillaries Once wat has ente
te
d
s.
ter
ered the cap
pillary syste and free
em
ezes it
will exp
pand in volume and dila the conc
ate
crete pore or cavity by exerting hy
o
ydraulic pres
ssure
generat by the e
ted
expansion. This pressu will slow – over th span of m
T
ure
wly
he
multiple cycles –
Page | 9
widen the pores or capillaries. Once the w
r
water in the pores thaw it will adv
e
ws
vance deep into
per
the concrete where the proces is repeat once the water in freezes aga and so fo
e
ss
ted
ain
orth.
haw cycles are most co
ommonly cr
racking and spalling of
d
f
Damages caused by freeze-th
te
ogressive expansion o the cemen paste. Th freeze-th
e
of
nt
he
haw effect
is
s
concret due to pro
drastica enhance if moistu and deic
ally
ed
ure
cing salts – used in roa maintena
ad
ance – are present,
p
which c lead to m
can
maximum scaling of th concrete surface. Sp
s
he
palling and c
cracking of the
concret will ultima
te
ately expose the embe
e
edded reinfo
orcement steel to corro
osion due to
o
chloride and water penetration
e
r
n.
Figure 9 E
Example of free
eze‐thaw damage on roads an
nd bridge decks
s
deterioration due to ch emical attack
2.6. Concrete d
hydrated ce
ement paste provides a very alkaline environm
e
ment in con
ncrete with pH
p
A well-h
values r
ranging from 12.5 to 13 As a re
m
3.5.
esult of the contact betw
c
ween acidic environme
c
ental
conditio and the concrete th alkaline environmen is disturb and lead to a lower
ons
his
nt
bed
d
ring of
the pH level. Depe
ending on th acidity of the attacking chemica concrete d
he
f
al
deteriorates slower
s
or faste The effec of concr
er.
cts
retes under chemical atta
ck alway result in a increase of the
ys
an
e
porosity and perme
y
eability, cracking and s
spalling and subsequen in a los of strengt The
d
ntly
ss
th.
combination of the physical de
e
eterioration and persisting exposu to the ch
ure
hemical atta
ack
continue and accelerate the deterioration of the concrete over time.
d
n
t
cal
cks
s
Chemic attacks involve attac by acid ic solutions promoting the formati on of soluble
calcium salts, insoluble and non-expansi ve calcium salts and solutions con
m
ntaining
magnes
sium salts. In the follow
wing contex this docum
xt
ment will foc on othe chemical attacks
cus
er
that involve the for
rmation of expansive p roducts (du to interna stress), su as sulfa
e
ue
al
ate
uch
attacks, delayed et
ttringite form
mation, alka
ali-aggregat reaction (AAR) and c
te
(
corrosion.
Page | 10
Figure 10 E
Example of con
ncrete damage caused by chem
mical attack
2.7. Sulfate attack
n
pansion and cracking of concrete or lead to a
d
o
Sulfat
e attacks can result either in an exp
l
in
pressive stre
ength.
gradual decrease i the comp
Crackin and spall
ng
ling allows aggressive and corrosive (ground) water to p
a
penetrate more
m
easily a a direct re
as
esult of incr
reased perm
meability, which will eff
w
fectively acc
celerate the
e
deterior
ration of the affected co
e
oncrete. Th is also kn
his
nown as external sulfa attack.
ate
A weak
kening of the concrete is achieved through the detachme of the ce
e
i
e
ent
ement paste from
e
the agg
gregates, su as caus by delay ettringit formation (DEF), wh
uch
sed
yed
te
n
hich is usually
conside
ered as internal sulfate attack as it involves sulfate ions contained in the concre (e.g.
t
c
n
ete
cement containing an unusua high sulf
t
ally
fate content DEF causes cracks in the ceme
t).
ent
paste a the aggr
and
regate-cement paste in
nterface res
sulting from an expans ion due to the
t
formatio of ettring around the aggrega
on
gite
ates. DEF occurs in the late ages of the conc
o
s
cret
e
when su
ulfate ions r
released by the decom
y
mposition of ettringite are absorbed by calcium
d
msilicate hydrate. On the sulf
nce
fate ions are desorbed, the re-form
e
mation of et
ttringite cau
uses
expansion that leads to cracking.
structures in marine en
n
nvironments
s
2.8. Concrete s
arine environ
nment conc
crete is expo
osed to a co
ombination of deteriora
ation effects
s.
In a ma
These include prim
marily the ch
hemical rea ction of sea
awater with the concret penetrat
te,
tion of
nd
s
tting/drying conditions, freeze-thaw
w-cycles in cold climat
tes,
salts an chlorides during wet
corrosio of the reinforcement steel and physical ero
on
osion due to wave acti on. Due to
o
bear higher risks of
intermin
ngling of the effects concrete st
ese
tructures in marine env
vironments b
r
Page | 11
deterior
ration and s
special cons
siderations should be taken into account in or
t
rder to ensu the
ure
durability of these structures.
terproofing with Pene
g
etron Adm ix
3. Wat
on
ation crysta lline, concre
ete-enhancing admixtu
ure, is the most
m
Penetro Admix, a 3rd genera
advanced formula to effective waterpro concrete structures. It eliminate problems
ely
oof
e
es
s
related with 1st and 2nd gene
eration admiixtures such as loss of compressiv strength and
h
f
ve
ally
ays
s
.
unusua long dela of the setting time.
Penetro Admix ca be applie to any co
on
an
ed
ommonly-us concret mix in tod
sed
te
day’s’ const
truction
industry It doesn’t have any known incom
y.
t
k
mpatibilities with other workability enhancing
s
admixtu
ures such as retarders or superpla
astizicers an there are no limitatio in regards to
nd
e
ons
the w/c ratio of the concrete to be treated With dosa
e
o
d.
ages rates as low as 0 .8% (by we
a
eight of
t)
nly
he
st-efficient and econom waterpro
a
mic
oofing choic
ces, but
cement it is not on one of th most cos
an effec
ctive formula that has been prove n in many in
b
nternational laboratory tests and on
y
o
countless projects worldwid
e.
on
c
nd
ved
Penetro Admix is a non-toxic product an is approv for use in projects involving potable
water (N
NSF 61 app
proval, Euro
opean Envir
ronmental License). Pe
L
enetron Adm does no
mix
ot
contain any volatile organic co
e
ompounds (
(VOC) and is used in green projec acquiring LEED
g
cts
certifica
ation points.
.
When a
applied to c
concrete Pe
enetron Adm assists in the hydra
mix
i
ation proces acting as a
ss
s
catalyst to un-hydr
t
rated cemen particles already existing in the concrete. T
nt
This already takes
y
place in the early s
n
stages of the cement-re
eaction resu
ulting in the developme of intern
e
ent
nal
strength build up c
h
compensatin to some extent the formation of shrinkage cracks as well as
ng
f
e
w
the incr
rease in com
mpressive strength. At the same time a longe workabilit of the fresh
s
er
ty
concret is provide
te
ed.
rks
3.1. How it wor
on
he
e
Penetro Admix is added to th concrete mix at the time of batching at dos
sage rates
between 0.8-1% by wei
ght of cement (alt
y
ternatively Penetron Admix can be added into the
P
e
truck on site before the concrete iis poured). The activating chemica of Penetron
e
e
als
mixing t
Admix r
react with w
water, calciu hydroxid and alum
um
de
minum as we as other metal oxide
ell
es
contained in the co
oncrete to fo a web o insoluble crystals. These crysta seal all existing
orm
of
e
als
e
capillaries, micro-c
cracks and voids of up to 0.4mm fo the lifetim of the co
v
or
me
oncrete. On
nce
,
l
s
nt
ater-borne salts and a w
s
wide range of
formed, the crystal formations will preven water, wa
chemica from entering and moving thro
als
m
ough the concrete and protect it pe
ermanently. Air is
still allo
owed to pass through th crystallin formation allowing the concret to breath and
he
ne
ns
te
he
avoiding build-up o vapor pre
g
of
essure.
Page | 12
Penetro Admix will subseque
on
ently enhan concrete properties resulting in an increased
nce
e
s
n
compre
essive strength and red
duced shrink
kage
cracks
s.
In addit
tion Penetro Admix will provide a “self-healin concrete. In absen of moist
on
ng”
nce
ture the
activatin chemica remain dormant in t he concrete for years. If cracks oc
ng
als
d
e
ccur at any time
the Pen
netron Admix compone
ents are act ivated by an penetrating moistur As a result the
ny
re.
chemica reaction w resume automatica and the developing crystals w practically “selfal
will
ally
g
will
heal” th new crac sealing it off comple
he
ck,
t
etely.
Figure 11 How Penetr works
ron
and
s
on
3.2. Features a benefits of Penetro Admix
3.2.1. Per
rmanent con
ncrete prote
ection
on
ent
mes
Penetro Admix is a permane applicatiion. It becom an
integral part of the concrete by forming in
nsoluble cry
ystals in the
and
racks in con
ncrete of up to 0.4mm.
capillaries, pores a microcr
hese crystal formations have deve
s
eloped in the concrete
Once th
matrix t
they will sta there for the lifetime of the conc
ay
t
crete turning
g
the concrete itself into the wat ba
rrier. Unlike barri products
ter
ier
s
ranes, ceme
entitious co
oatings) Pen
netron-treat concrete
ted
e
(membr
will rem
main its wate
erproofing and protectio propertie even if
a
on
es
the surf
face is damaged. Pene
etron Admix does not require rex
r
applicat
tion.
Figure 12 Scanning Electron
e
g
Micro
oscope Photo
ograph of
P
Penetron crys
stals
Page | 13
3.2.2. Self
f-healing co
oncrete
on
w
ng
re
ides project with a selfts
Penetro Admix is an active waterproofin admixtur that provi
healing concrete. B
Being a hyd
drophilic pro
oduct Penet
tron Admix reacts with moisture to form
o
crystals in cracks a voids of the concre Should new water enter throu newly fo
s
and
ete.
ugh
ormed
cracks in the struct
ture – even years after constructio – the che
r
on
emical reac
ction of Penetron
Admix w resume. Penetron crystal form
will
c
mations will develop and ultimately seal these new
y
e
cracks a well.
as
A test p
performed a the MFPA in Leipzig, Germany1 examined the sel
f-hea
at
A
,
aling behavior of
Penetro Admix-tre
on
eated concrete. In orde to simula the self-healing effe
er
ate
ects crackcontaining concrete cubes we produce by placing new, Adm
ere
ed
mix-treated c
concrete
(contain
ning 1% Penetron Adm by weigh of cemen onto already cured c
mix
ht
nt)
concrete
(contain
ning 1% Penetron Adm
mix). After cu
uring the tw halves were forced a
wo
apart by we
edges to
create a joint of 0.2
2mm, 0.25m A 0.1 b (1m wat
mm.
bar
ter-column) water press
sure was applied
as
at each of the joint and the flow-through of water th
ts
h
hrough at bo joints wa measure (see
oth
ed
observed tha the water
at
r-flow through the joints continuou
usly decreas
sed
figure 13). It was o
me.
w
ess
c
meters per hour,
h
over tim Once the water-flow reached a value of le than 5 cubic centim
the pres
ssure was r
raised to 0.5 bar (5m w
5
water-colum and the water-flow t
mn)
w
through the joint
e
was me
easured. Aft the flow was reduce to less th 5 cubic centimeter per hour the
te
r
ed
han
rs
pressur was raise to 1.0 ba (10m wate
re
ed
ar
er-column). In both cas a sealin of the joints was
.
ses
ng
observe
ed.
Figure 13 Test setu MFPA Leip
up,
pzig, German 2006
ny,
1
MFPA L
Leipzig GmbH Germany – Department o Structural En
H,
D
of
ngineering: “Application-tech
chnology tests on
concrete test specimen with and wi
ns
ithout adding t sealing ag
the
gent Penetron Admix (May 3 2007)”
31,
Page | 14
Followin tables sh
ng
how the water flow thro
ough the joi
ints at differ
rent water p
pressures (0 bar,
0.1
0.5 bar, 1.0 bar).
,
Figure 14 Water flow th
hrough 0.2mm crack at wa
m
ater pressure of 0.1, 0.5 a
es
and 1.0 bar
Figure 15 W
Water flow through 0.25m m crack at water pressure of 0.1, 0.5 and 1.0 bar
w
es
The self-healing pr
roperties of Penetron A
Admix-treate concrete prevent pe
ed
e
enetration of water,
o
chemica and othe c
orrosive agents fro entering the concrete through c
als
er
e
om
cracks that form in
the late stage in th lifetime of the struct
er
he
o
ture.
Page | 15
3.2.3. Cor
rrosion prote
ection of reiinforcement steel with Penetron A
Admix
pillaries, por and micr
res
f
w
By sealing the cap
rocracks of concrete with insolubl e crystal
ons
on
educes the permeability of the con
y
ncrete and d
denies wate and
er
formatio Penetro Admix re
corrosiv chemicals the entryw into the concrete structure. Water-borne salts, chlorides
ve
way
e
s
W
e
and oth chemica are preve
her
als
ented from reaching th reinforcement steel a start co
he
orrosion
and
by brea
aking down (lowering of the pH lev
vels) the alk
kaline surrou
unding of th concrete and
he
the prot
tective coat
ting of the re
ebar.
A test p
performed a the renow
at
wned ENCO Laboratory2 clearly sh
O
y
hows a redu
uction of wa
ater
penetra
ation (reduction of perm
meability) in to Penetron Admix-treated concre compare to
n
ete
ed
the
control concret
te.
second serie of this test concrete samples co
es
ontaining 1% Penetron Admix (by weight
%
n
y
In the s
of ceme were w
ent)
water cured for 10 days . The samp
f
ples were then subjecte to a wate
ed
er
pressur of 9 atm (9 bar) (10 days for the samples with a w/c ra of 0.65 and 20 day for
re
e
w
atio
ys
the sam
mples with a w/c ratio of 0.43). The samples were then again placed in water fo an
o
e
w
d
or
addition 10-20 da until the start of the actual water permeability tests w a press
nal
ays
e
e
with
sure of 5
atm (5 b
bar).
The Penetron Adm
mix-treated samples (w/
s
w/c=0.65) sh
how a significant improv
vement in the
penetration c
compared to the contro sample. The table be
ol
T
elow shows the detaile
s
ed
water p
results.
2
Evaluat
tion of the effic
cacy of the ad
dditives Penetr Admix and Penetron in porous and cr
ron
d
p
racked concre
etes
(se
cond t
test series); E
ENCO Laborato Italy, 200
ory,
06
Page | 16
Figure 16 Excerpt: Pe
6
ermeability of Penetron-Ad
f
Admix-treated concrete vs. control sam
.
mple (ENCO, 2006)
2
Apart fr
rom isolating the reinfo
g
orcement ste from the external environment cured Pen
eel
e
t,
netron
(Penetr is Portla cement –based) ha an alkalin of around pH 11 an will thus
ron
and
as
nity
nd
prevent the steel fr
t
rom corroding by addin more alk
ng
kalinity to the mix. More
eover, by
prevent
ting soluble alkaline sa (calcium hydroxide) from being flushed ou of the concrete
alts
m
g
ut
rbon dioxide gas
due to w
water migra
ation and by densifying the concre matrix to reduce car
y
g
ete
o
diffusion, Penetron will help to maintain t alkaline environment that is ne
n
o
the
ecessary to protect
nforcing stee
el.
the rein
3.2.4. Protection against chloride penetratio
e
on
es
major factor in precipita
r
ating corros
sion in conc
crete and en
nter the con
ncrete
Chloride are the m
mass usuall
cond t
test series); E
ENCO Laborato Italy, 200
ory,
06
Page | 16
Figure 16 Excerpt: Pe
6
ermeability of Penetron-Ad
f
Admix-treated concrete vs. control sam
.
mple (ENCO, 2006)
2
Apart fr
rom isolating the reinfo
g
orcement ste from the external environment cured Pen
eel
e
t,
netron
(Penetr is Portla cement –based) ha an alkalin of around pH 11 an will thus
ron
and
as
nity
nd
prevent the steel fr
t
rom corroding by addin more alk
ng
kalinity to the mix. More
eover, by
prevent
ting soluble alkaline sa (calcium hydroxide) from being flushed ou of the concrete
alts
m
g
ut
rbon dioxide gas
due to w
water migra
ation and by densifying the concre matrix to reduce car
y
g
ete
o
diffusion, Penetron will help to maintain t alkaline environment that is ne
n
o
the
ecessary to protect
nforcing stee
el.
the rein
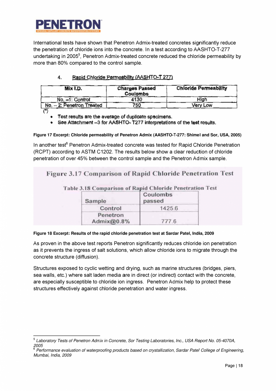
3.2.4. Protection against chloride penetratio
e
on
es
major factor in precipita
r
ating corros
sion in conc
crete and en
nter the con
ncrete
Chloride are the m
mass usuall
... ascunde
Alte documentatii ale aceleasi game Vezi toate
Fisa tehnica
3 p |
PENETRON ADMIX
Fisa tehnica
2 p |
PENEPLUG