Țevi WaterPRO PE100 cu fir de inox VALROM
FISA TEHNICA
TUB "WaterPro" APA POTABILA PE100 CU ACOPERIRE
PROTECTIVA PP CU FIR INOX
1. Domeniu de utilizare
Tevile WaterPro cu fir de inox se utilizeaza in retele de alimentare cu apa (inclusiv
apa potabila) sub presiune. Se monteaza ingropat in pamant, in sant deschis dar fara
pat de nisip.
Sub stratul protector este inserat un fir de inox pentru localizarea pozitiei tevii, astfel
incat sa fie identificata si evitata in timpul excavarii. Adancimea maxima de pozare,
care permite detectarea tevii, este de 6 metri masurata de la generatoarea inferioara,
unde se afla firul de inox.
2. Caracteristici tehnice
Tevile sunt in conformitate cu EN 12201-2:2011, anexa C “Pipes with peelable layer”
= Tevi cu strat exfoliabil.
Materiale: nucleul este din polietilena de inalta densitate PE100, la exterior cu strat
protector din PP aditivata pentru a–i creste rezistenta la zgariere si penetrare. Stratul
protector are rolul de a proteja teava de solicitarile mecanice si radiat
ia UV.
Caracteristici materie prima PE100
Caracteristica
UM
Metoda de
Valoare de referinta
incercare
Densitate (23°)
g/cm3
EN ISO 1183
> 0,945
Indice de fluiditate MFR
EN ISO 1133
0,2.....1,4 g/10 min
5kgf/190C
Continut de negru de fum
%
SR ISO 6964, ASTM
2%....2,5%
D 1603
Dispersie negru de fum
grad
ISO 18553
≤3
Continut material volatil
mg/kg
SR EN 12099
≤350
Timpul de inducere a
min
ISO 10837, ISO
≥20
oxidarii (OIT)
11357-6, EN 728
Rezistenta minima ceruta
MPa
SR EN ISO 9080
10
(MRS) pentru PE100
Caracteristica
Aspect
Caracteristicile tevilor WaterPRO PE100
dupa ce s-a eliminat stratul protector
UM
Metoda de
Valoare de referinta
incercare
SR EN12201-2,
inspectate fara echipamente de marire,
SR ISO4427-2
suprafetele interioare si exterioare ale
tuburilor sunt netede, curate si fara
bavuri, pori si alte defecte de suprafata
SC. VALROM INDUSTRIE SRL. isi rezerva dreptul de a face modificari in prezenta fisa tehnica fara notificare.
Pag 1 din 15
SERVICIUL CONSULTANTA TEHNICA
E
laborat A.T. Vs. 2.7 Data 18.02.2022
F-TEH-14_Ed.1, rev.0 _24.10.2019
Caracteristica
UM
Dimensiuni si
tolerante
mm
Rezistenta
hidrostatica PE100
h
Indice de fluiditate
MFR
Metoda de
incercare
SR EN 12201-2,
SR ISO 4427-2,
SR ISO 11922
EN ISO 1167-1,
EN ISO 1167-2
EN ISO 1133
5kgf/190C
Alungirea la rupere
%
Contractie
longitudinala
cald
%
SR EN ISO 62591, ISO 6259-3
SR EN ISO 2505
Valoare de referinta
dimensiuni si tolerante (diametru
exterior, grosime, ovalitate) corespund
valorilor prevazute in standard.
≥100 ore la temp. 20°C, 12,4 MPa
≥165 ore la temp. 80°C, 5,4 MPa
≥1000 ore la temp 80°C, 5,0 MPa
0,2........1,4 g/10 min
dupa prelucrare se admite o deviere de
±20% din valoarea coresp. materiei
prime din care s-a produs
≥450%
≤3 %
la
Dimensiuni
Cod articol
Diam. ext
[mm]
WPR306260075013
WPR306260090013
WPR306260110013
WPR306260125013
WPR306260140013
WPR306260160013
WPR306260180013
WPR306260200013
WPR306260225013
WPR306260250013
WPR306260280013
WP
R306260315013
WPR306260355013
WPR306260400013
WPR306260450013
75
90
110
125
140
160
180
200
225
250
280
315
355
400
450
Grosime de
Grosime minima
perete fara strat
strat de
de protectie,
protectie,
e [mm]
g[mm]
SDR26 PN6
2,9
0,8
3,5
0,8
4,2
0,8
4,8
0,8
5,4
0,8
6,2
0,8
6,9
1,0
7,7
1,0
8,6
1,0
9,6
1,0
10,7
1,0
12,1
1,2
13,6
1,2
15,3
1,2
17,2
1,2
Masa
totala/m,
[kg/m]
Lungime
livrare
[m]
1,027
1,392
1,928
2,413
2,953
3,755
4,819
5,833
7,168
8,710
10,681
13,711
17,050
21,251
26,471
Bara 13
Bara 13
Bara 13
Bara 13
Bara 13
Bara 13
Bara 13
Bara 13
Bara 13
Bara 13
Bara 13
Bara 13
Bara 13
Bara 13
Bara 13
SC. VALROM INDUSTRIE SRL. isi rezerva dreptul de a face modificari in prezenta fisa tehnica fara notificare.
Pag 2 din 15
SERVICIUL CONSULTANTA TEHNICA
Elaborat A.T. Vs. 2.7 Data 18.02.2022
F-TEH-14_Ed.1, rev.0 _24.10.2019
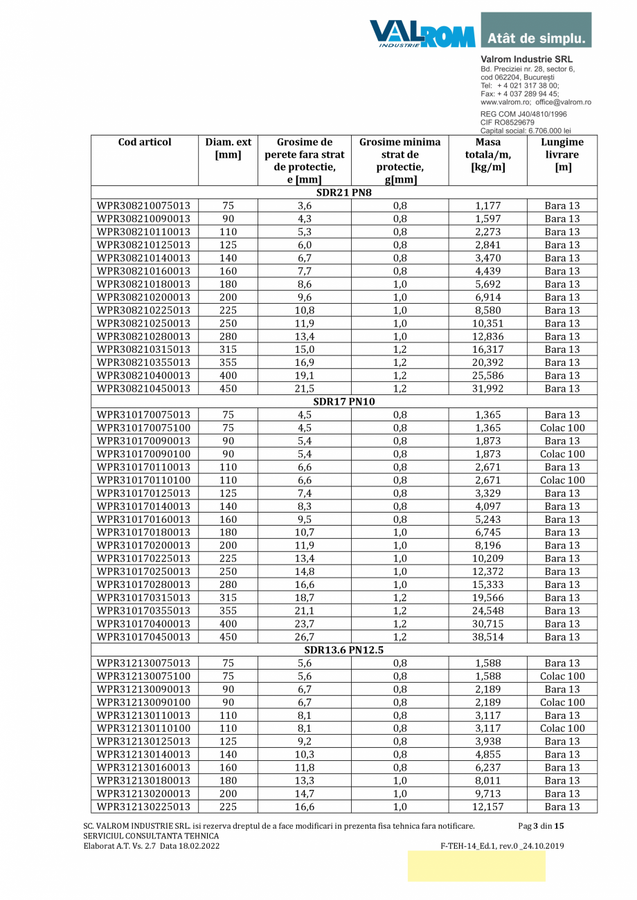
Cod articol
Diam. ext
[mm]
WPR308210075013
WPR308210090013
WPR308210110013
WPR308210125013
WPR308210140013
WPR308210160013
WPR308210180013
WPR308210200013
WPR30821
0225013
WPR308210250013
WPR308210280013
WPR308210315013
WPR308210355013
WPR308210400013
WPR308210450013
75
90
110
125
140
160
180
200
225
250
280
315
355
400
450
WPR310170075013
WPR310170075100
WPR310170090013
WPR310170090100
WPR310170110013
WPR310170110100
WPR310170125013
WPR310170140013
WPR310170160013
WPR310170180013
WPR310170200013
WPR310170225013
WPR310170250013
WPR310170280013
WPR310170315013
WPR310170355013
WPR310170400013
WPR310170450013
75
75
90
90
110
110
125
140
160
180
200
225
250
280
315
355
400
450
WPR312130075013
WPR312130075100
WPR312130090013
WPR312130090100
WPR312130110013
WPR312130110100
WPR312130125013
WPR312130140013
WPR312130160013
WPR312130180013
WPR312130200013
WPR312130225013
75
75
90
90
110
110
125
140
160
180
200
225
Grosime de
Grosime minima
perete fara strat
strat de
de protectie,
protectie,
e [mm]
g[mm]
SDR21 PN8
3,6
0,8
4,3
0,8
5,3
0,8
6,0
0,8
6,7
0,8
7,7
0,8
8,6
1,0
9,6
1,0
10,8
1,0
11,9
1,0
13,4
1,0
15,0
1,2
16,9
1,2
19,1
1,2
21,5
1,2
SDR17 PN10
4
,5
0,8
4,5
0,8
5,4
0,8
5,4
0,8
6,6
0,8
6,6
0,8
7,4
0,8
8,3
0,8
9,5
0,8
10,7
1,0
11,9
1,0
13,4
1,0
14,8
1,0
16,6
1,0
18,7
1,2
21,1
1,2
23,7
1,2
26,7
1,2
SDR13.6 PN12.5
5,6
0,8
5,6
0,8
6,7
0,8
6,7
0,8
8,1
0,8
8,1
0,8
9,2
0,8
10,3
0,8
11,8
0,8
13,3
1,0
14,7
1,0
16,6
1,0
Masa
totala/m,
[kg/m]
Lungime
livrare
[m]
1,177
1,597
2,273
2,841
3,470
4,439
5,692
6,914
8,580
10,351
12,836
16,317
20,392
25,586
31,992
Bara 13
Bara 13
Bara 13
Bara 13
Bara 13
Bara 13
Bara 13
Bara 13
Bara 13
Bara 13
Bara 13
Bara 13
Bara 13
Bara 13
Bara 13
1,365
1,365
1,873
1,873
2,671
2,671
3,329
4,097
5,243
6,745
8,196
10,209
12,372
15,333
19,566
24,548
30,715
38,514
Bara 13
Colac 100
Bara 13
Colac 100
Bara 13
Colac 100
Bara 13
Bara 13
Bara 13
Bara 13
Bara 13
Bara 13
Bara 13
Bara 13
Bara 13
Bara 13
Bara 13
Bara 13
1,588
1,588
2,189
2,189
3,117
3,117
3,938
4,855
6,237
8,011
9,713
12,157
Bara 13
Colac 100
Bara 13
Colac 100
Bara 13
Colac 100
Bara 13
Bara 13
Bara 13
Bara 13
Bara 13
Bara 13
SC. VALROM INDUSTRIE SRL.
isi rezerva dreptul de a face modificari in prezenta fisa tehnica fara notificare.
Pag 3 din 15
SERVICIUL CONSULTANTA TEHNICA
Elaborat A.T. Vs. 2.7 Data 18.02.2022
F-TEH-14_Ed.1, rev.0 _24.10.2019
Cod articol
Diam. ext
[mm]
WPR312130250013
WPR312130280013
WPR312130315013
WPR312130355013
WPR312130400013
WPR312130450013
250
280
315
355
400
450
WPR316110075013
WPR316110075100
WPR316110090013
WPR316110090100
WPR316110110013
WPR316110110100
WPR316110125013
WPR316110140013
WPR316110160013
WPR316110180013
WPR316110200013
WPR316110225013
WPR316110250013
WPR316110280013
WPR316110315013
WPR316110355013
WPR316110400013
WPR316110450013
75
75
90
90
110
110
125
140
160
180
200
225
250
280
315
355
400
450
Grosime de
Grosime minima
perete fara strat
strat de
de protectie,
protectie,
e [mm]
g[mm]
18,4
1,0
20,6
1,0
23,2
1,2
26,1
1,2
29,4
1,2
33,1
1,2
SDR11 PN16
6,8
0,8
6,8
0,8
8,2
0,8
8,2
0,8
10,0
0,8
10,0
0,8
11,4
0,8
12,7
0,8
14,6
0,8
16,4
1,0
18,2
1,0
20,5
1,0
22,7
1,0
25,4
1,0
28,6
1,2
32,2
1,2
36,3
1,2
40,9
1,2
Masa
totala/m,
[kg/m]
Lungime
livrare
[m]
14,809
18,367
23,402
29,352
36,889
46,309
Bara 13
Bara 13
Bara 13
Bara 13
Bara 13
Bara 13
1,822
1,822
2,540
2,540
3,662
3,662
4,655
5,731
7,407
9,466
11,539
14,445
17,612
21,873
27,839
35,002
44,089
55,464
Bara 13
Colac 100
Bara 13
Colac 100
Bara 13
Colac 100
Bara 13
Bara 13
Bara 13
Bara 13
Bara 13
Bara 13
Bara 13
Bara 13
Bara 13
Bara 13
Bara 13
Bara 13
La cerere, se produc tevi in gama SDR 7.4 si SDR9.
Marcarea tevilor
Marcarea tevilor se face pe toata lungimea, informatia se repeta la fiecare 1 m de teava.
Marcajul cuprinde:
• numele producatorului: VALROM
• brand: WaterPRO FIR INOX
• Made in Romania
• D ext. x e (diametrul ext. x grosimea peretelui) fara strat protector
• lotul: format din 4 cifre, primele 2 cifre reprezinta ultimele doua cifre ale anului de
fabricatie iar urmatoarele 2 cifre reprezinta numarul de ordine al lotului, LOT 2108
• APA POTABILA, W
• PEELABLE LAYER
• presiunea nomi
nala: PN
• SDR teava: SDR
• standardul de referinta: EN 12201
• material: HDPE 100
• data: ziua luna an : 27.04.2021
SC. VALROM INDUSTRIE SRL. isi rezerva dreptul de a face modificari in prezenta fisa tehnica fara notificare.
Pag 4 din 15
SERVICIUL CONSULTANTA TEHNICA
Elaborat A.T. Vs. 2.7 Data 18.02.2022
F-TEH-14_Ed.1, rev.0 _24.10.2019
Tevile sunt fabricate prin coextrudare.
Pentru detectia tevii sub stratul protector din PP exista un fir de inox cu diametrul de
1,2mm.
Culoare: stratul protector este albastru iar teava din PEHD este de culoare neagra. La
cerere, in urma semnarii unui Proces verbal de convenire, teava din PEHD poate fi de
culoare albastra. Marcajul este de culoarea alba/neagra si este aplicat numai pe stratul
exterior.
Detectarea tevii:
Detectarea cu acuratete a tevilor WaterPRO cu fir de inox se face prin aplicarea unui
semnal cu un emitator care va genera un semnal activ. Bornele emitatorului se
conecteaza direct la firul de inox si la
un dispozitiv de impamantare adecvat.
Se seteaza receptorul pe frecventa pentru a detecta pozitia tevii ingropate.
Detectarea tevii prin conexiune directa la firul metalic al tevii.
Semnalul poate fi transmis pe distante de sute de
metri. Distanta creste pentru modelele de emitatoare
cu putere mai mare. Cu cat conducta este la o
adancime mai mare, va trebui emis un semnal cu
frecventa mai inalta, ceea ce va diminua distanta pe
care se propaga. Daca adancimea este de aproximativ
1,5 metri, atunci se poate alege o frecventa mai mica,
iar distanta va creste.
Conform distantei de propagare a semnalului vor fi
prevazute pe trasee cai de acces la firul trasor (ex: prin
conectarea la vane actionate suprateran cu tija).
In situatia unor intreruperi cauzate de omiterea sau legarea superficiala a firului trasor la
zonele de imbinare dintre tevi, se poate genera un semnal inductiv asezand generatorul
deasupra tevii cu fir trasor. Detectia nu mai este la fel de precisa ca la conex
iunea directa
dar este utila.
Avantajele utilizarii tevii WaterPRO PE100 cu fir de INOX
Protectie la deteriorare mecanica
Stratul exterior este special aditivat astfel incat sa
asigure rezistenta la zgariere si penetrare
(polipropilena este de cca 3 ori mai rezistenta decat
SC. VALROM INDUSTRIE SRL. isi rezerva dreptul de a face modificari in prezenta fisa tehnica fara notificare.
Pag 5 din 15
SERVICIUL CONSULTANTA TEHNICA
Elaborat A.T. Vs. 2.7 Data 18.02.2022
F-TEH-14_Ed.1, rev.0 _24.10.2019
polietilena). Acest lucru face posibila instalarea fara nisip. Orice deteriorare peste
limita admisibila este usor de observat datorita culorii diferite a stratului de
protectie.
Scaderea costurilor de instalare
Reducerea costurilor de montaj cu pana la 10% pe ml de conducta, datorita eliminarii
nisipului si a manoperei aferente (procentajul variaza in functie de diametrul
conductei, adancimea de ingropare si de natura solului).
Strat exterior exfoliabil
Stratul de protectie este uso
r de indepartat prin exfoliere pentru a permite imbinarea
folosind tehnologiile clasice (sudura cap la cap sau electrofuziune). Pregatirea pentru
instalare nu dureaza mult si poate fi facuta direct pe santier cu SDV–uri dedicate.
Protectie
Stratul exterior de PP asigura protectia impotriva radiatiei UV si previne
contaminarea prin oxidare sau murdarire.
Lipsa contaminarii
Stratul exterior protejeaza impotriva contaminarii pe toata perioada de manipulare,
transport si punere in opera.
Detectia tevii
Firul de inox permite localizarea pozitiei tevii, astfel incat sa fie identificata si evitata
in timpul excavarii.
3. Ambalare, manipulare , transport si depozitare
Tevile WaterPRO cu fir se livreaza la bare cu lungimea de 13 metri. Tevile sunt
ambalate in pachete legate cu banda PET.
La transport obligatoriu tevile se vor asigura cu chingi din material textil.
La manevrarea tevilor este bine sa se foloseasca curele din materiale neabrazive
(nylon, canepa sau simil
ar), daca se folosesc cabluri de otel este necesar sa se
protejeze tevile in zona de contact.
Este interzisa tararea sau rostogolirea tevilor.
Depozitarea tevilor se face pe suprafete drepte, curate, fara asperitati, corpuri
ascutite, etc. Tevile se vor proteja impotriva incovoierii sau deformarii.
Tevile vor fi ferite de contactul prelungit cu combustibili, solventi, uleiuri, grasimi,
vopsele sau surse de caldura.
Perioada de depozitare sub cerul liber a tevilor de culoare neagra este de maxim doi
iar a tevilor albastre maxim un an, de la data fabricatiei.
Pachetele de teava se depoziteaza unul peste altul, respectand cele de mai jos.
Depozitarea pachetelor de teava ambalate cu banda din PET se face unul peste altul
punand pe sol si intre pachete minim trei distantiere din lemn, pozitionate echidistant
fata de mijlocul pachetului, de grosime egala, avand o lungime minim latimea
pachetului si grosimea minim 50 mm. Inaltimea maxima a stivei nu trebuie sa
depaseas
ca 1,5 m.
Inainte de extragerea tevilor din pachet este necesara coborarea pachetului pe sol.
La depozitare se vor lua toate masurile pentru respectarea normelor de protectia
muncii.
SC. VALROM INDUSTRIE SRL. isi rezerva dreptul de a face modificari in prezenta fisa tehnica fara notificare.
Pag 6 din 15
SERVICIUL CONSULTANTA TEHNICA
Elaborat A.T. Vs. 2.7 Data 18.02.2022
F-TEH-14_Ed.1, rev.0 _24.10.2019
4. Garantie si durata de utilizare
Garantie 10 ani de la data facturii, in baza facturii fiscale, cu respectarea
instructiunilor de transport, depozitare, manipulare si utilizare ale producatorului.
Aviz si agrement tehnic nr. 017-05/3491-2021.
Aviz sanitar nr. 12CRSPB/15.09.2017 emis de INSP Bucuresti, pentru tevi PE100
culoare neagra.
Aviz sanitar nr. 16CRSPB/12.12.2019 emis de INSP Bucuresti, pentru tevi PE100
culoare albastra.
Tevile WaterPRO au o durata de utilizare de 50 de ani la o temperatura a fluidului de
20°C si la o presiune de lucru egala sau
mai mica cu presiunea nominala pentru care
au fost produse.
Presiunea de utilizare PN este calculata in conformitate cu SR ISO4427/SR EN 12201,
pentru o temperatura de utilizare de 20°C, tensiunea de proiectare PE100 σ=8,0MPa.
Definirea materialului si a tensiunii de proiectare
Denumire
Rezistenta minima ceruta
Tensiune de proiectare
(MRS)MPa
σ(HDS)MPa
σ(
PE 100
10,0
8,0
unde:
MRS (Minimum Required Strength) este rezistenta minima necesara extrasa dupa
EN12201:1 de la curbele de regresie la 20ºC, in MPa
σ = tensiune hidrostatica de proiectare la 20ºC pentru utilizare precizata, in MPa
C= coeficient supraunitar de proiectare, conform EN 12201 C=1,25.
Presiunea de utilizare PN variaza invers proportional cu temperatura apei. Valoarea maxima
pentru presiune corespunde la temperaturi mai mici sau egale cu 20°.
Conform SR EN 12201:
Temperatura
≤ 20°
30°
40°
Coeficient de reducere a
presiunii
1,00
0,87
0,74
5. Punere in opera
Punerea in opera si verificarea lucra
mai mica cu presiunea nominala pentru care
au fost produse.
Presiunea de utilizare PN este calculata in conformitate cu SR ISO4427/SR EN 12201,
pentru o temperatura de utilizare de 20°C, tensiunea de proiectare PE100 σ=8,0MPa.
Definirea materialului si a tensiunii de proiectare
Denumire
Rezistenta minima ceruta
Tensiune de proiectare
(MRS)MPa
σ(HDS)MPa
σ(
PE 100
10,0
8,0
unde:
MRS (Minimum Required Strength) este rezistenta minima necesara extrasa dupa
EN12201:1 de la curbele de regresie la 20ºC, in MPa
σ = tensiune hidrostatica de proiectare la 20ºC pentru utilizare precizata, in MPa
C= coeficient supraunitar de proiectare, conform EN 12201 C=1,25.
Presiunea de utilizare PN variaza invers proportional cu temperatura apei. Valoarea maxima
pentru presiune corespunde la temperaturi mai mici sau egale cu 20°.
Conform SR EN 12201:
Temperatura
≤ 20°
30°
40°
Coeficient de reducere a
presiunii
1,00
0,87
0,74
5. Punere in opera
Punerea in opera si verificarea lucra
... ascunde
Alte documentatii ale aceleasi game Vezi toate
Catalog, brosura
19 p | RO
WaterPRO Țeavă apă potabilă PE100RC Tubulatură PVC PE100 CERT PE80 CERT
Catalog, brosura 72 p | RO