Declaratie de performanta pentru tigla ceramica TONDACH Solzi Pilis

Limba: Engleza, Maghiara, Romana, Rusa
18 afisari
TONDACH ROMANIA nu mai oferă acces la această documentație pe spatiulconstruit.ro.
Previzualizați mai jos pagina 1 din 1.
Tip documentatie: Certificare produs
Salvează pdf
Pagina 1-Declaratie de performanta pentru tigla ceramica TONDACH Solzi Pilis  Certificare produs Engleza,...
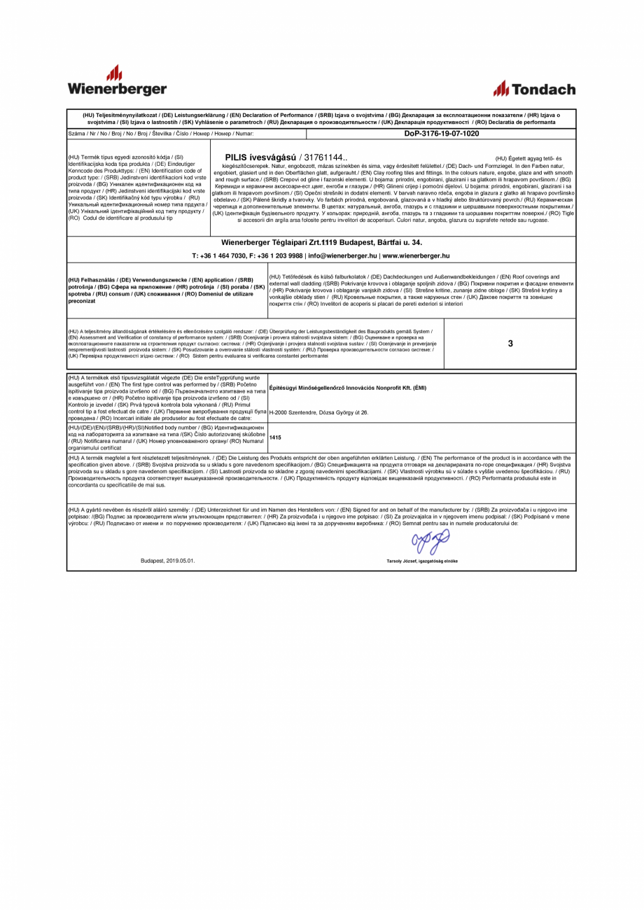
(HU) Teljesítménynyilatkozat / (DE) Leistungserklärung / (EN) Declaration of Performance / (SRB) Izjava o svojstvima / (BG) Декларация за експлоатационни показатели / (HR) Izjava o svojstvima / (SI) Izjava o lastnostih / (SK) Vyhlásenie o parametroch / (RU) Декларация о производительности / (UK) Декларація продуктивності / (RO) Declaratia de performanta Száma / Nr / No / Broj / No / Broj / Številka / Číslo / Номер / Номер / Numar: DoP-3176-19-07-1020 (HU) Termék típus egyedi azonosító kódja / (SI) PILIS ívesvágású / 31761144.. (HU) Égetett agyag tető- és Identifikacijska koda tipa produkta / (DE) Eindeutiger kiegészítőcserepek. Natur, engobozott, mázas színekben és sima, vagy érdesített felülettel./ (DE) Dach- und Formziegel. In den Farben natur, Kenncode des Produkttyps: / (EN) Identification code of engobiert, glasiert und in den Oberflächen glatt, aufge ... ascunde
Pentru noi, confidențialitatea dvs. este importantă
Portalul spatiulconstruit.ro folosește cookies pentru a asigura funcționalitatea și securitatea site-ului, pentru a personaliza conținutul și modul de interacțiune, pentru a oferi facilități de social media și pentru a analiza modul în care este utilizat site-ul. Aceste cookies sunt stocate și prelucrate, de către noi sau partenerii noștri în conformitate cu toate reglementările în vigoare și toate standardele de confidențialitate și securitate actuale.

Vă rugăm să rețineți că este posibil ca anumite prelucrări ale datelor dumneavoastră cu caracter personal să nu necesite consimțământul dumneavoastră, dar vă puteți exprima acordul cu privire la prelucrarea realizată de către noi și partenerii noștri conform descrierii de mai sus utilizând butonul SUNT DE ACORD de mai jos.

Navigând în continuare, vă exprimați acordul implicit asupra folosirii cookie-urilor.

Mai multe detalii despre politica noastră de confidențialitate aflați aici: https://www.spatiulconstruit.ro/politica-de-confidentialitate.