Declaratie de conformitate placi de fibrociment pentru fatade ventilate EQUITONE [pictura] [pictura]
Tip documentatie: Certificare produs
Salvează pdf
Full screen
UMWELT-PRODUKTDEKLARATION
nach ISO 14025 und EN 15804
Deklarationsinhaber
Eternit AG
Herausgeber
Institut Bauen und Umwelt e.V. (IBU)
Programmhalter
Institut Bauen und Umwelt e.V. (IBU)
Deklarationsnummer
EPD-ETE-20130223-IAC1-DE
Ausstellungsdatum
28.10.2013 | 28.10.2018
Gültig bis
27.10.2018 | 27.10.2019 (EPD in renewal process)
Eternit Fassadentafel Equitone Pictura und
Eternit Fassadentafel Equitone Natura PRO
Eternit AG
www.bau-umwelt.com / https://epd-online.com
1. Allgemeine Angaben
Eternit AG
Eternit Fassadentafeln Equitone
Pictura & Natura PRO
Programmhalter
Inhaber der Deklaration
IBU - Institut Bauen und Umwelt e.V.
Panoramastr. 1
D-10178 Berlin
Eternit AG
Im Breitspiel 20
D-69126 Heidelberg
Deklarationsnummer
Deklariertes Produkt/deklarierte Einheit
EPD-ETE-20130223-IAC1-DE
1 m² Pictura / Natura PRO
Diese Deklaration basiert auf den
Produktkategorienregeln:
Gültigkeitsbereich:
Faserzement / Faserbeton, 07-2012
(PCR geprüft und zugelassen durch
den unabhängigen
Sachverständigenausschuss)
Ausstellungsdatum
28.10.2013 | 28.10.2018
Gültig bis
27.10.2018 | 27.10.2019
Innerhalb der Umweltproduktdeklaration werden für
großformatige Faserzementtafeln die
Umweltkennzahlen ausgewiesen. Dieses Dokument
bezieht sich auf die Herstellung der Fassadentafeln
Pictura und Natura PRO der Eternit AG. Die
Sammlung der Produktionsdaten mit dem Bezugsjahr
2010 erfolgte im Werk Neubeckum der Eternit AG.
Beide Produkte sind nahezu identisch, sie
unterscheiden sich lediglich in der Beschichtung. Da
die Beschichtung der Pictura weniger wässrig ist, bei
ansonsten gleicher chemischer Zusammensetzung,
wird die Fassadentafel Pictura deklariert. Für die
Fassadentafel Natura PRO stellen die ermittelten
Umweltwirkungen einen worst case dar.
Die Ökobilanz, die auf plausiblen, transparent
nachvollziehbaren Basisdaten beruht, repräsentiert zu
100% die genannten Eternit-Produkte. Der Inhaber der
Deklaration haftet für die zugrundeliegenden Angaben
und Nachweise; eine Haftung des IBU im Bezug auf
Herstellerinformationen, Ökobilanzdaten und
Nachweise ist ausgeschlossen.
Verifizierung
Prof. Dr.-Ing. Horst J. Bossenmayer
(Präsident des Instituts Bauen und Umwelt e.V.)
Die CEN Norm EN 15804 dient als Kern-PCR
Verifizierung der EPD durch eine/n unabhängige/n
Dritte/n gemäß ISO 14025
intern
x extern
Dr. Patricia Wolf,
Unabhängige/r Prüfer/in vom SVA bestellt
Dr. Burkhart Lehmann
(Vorsitzender des SVA)
2. Produkt
2.1
Produktbeschreibung
Die genannten Produkte sind großformatige ebene
Tafeln aus naturerhärtetem Faserzement, mit
lasierender oder deckender Beschichtung.
Equitone Natura PRO ist die durchgefärbte
Fassadentafel von Eternit mit dauerhaftem
Graffitischutz. Sie ist besonders kratzfest und resistent
gegen gebräuchliche Sprühlacke und Farben. Da die
glatte Oberfläche mit einer transparenten
Beschichtung versehen oder farbig lasiert ist, scheint
die charakteristische Struktur des Faserzements
gleichmäßig durch.
Equitone Pictura ist die Faserzementtafel von Eternit
für die farbige Fassadengestaltung mit Graffitischutz.
Die Fassadentafel mit der glatten, matten und farbig
deckenden Beschichtung verfügt über eine äußerst
beständige, UV-gehärtete Oberfläche. So ist Pictura
2
besonders kratzfest und resistent gegen gebräuchliche
Sprühlacke und Farben.
Hierbei handelt es sich jeweils um Faserzementplatten
mit Fasern aus Zell- und Kunststoff zur
Wasserrückhaltung, zur besseren Zuglastverteilung
und zur Erhöhung von Bruchlast und
Bruchverformung. Die beiden Produkte sind nahezu
identisch. Sie weisen lediglich kleine Unterschiede in
der Beschichtung auf.
2.2
Anwendung
Pictura und Natura PRO dienen als
Bekleidungsmaterial für vorgehängte hinterlüftete
Fassaden sowie für den dekorativen Innenausbau. Die
Fassadentafeln dienen zur Montage auf
Unterkonstruktionen aus Holz oder Metall.
Umwelt Produktdeklaration Eternit AG – Eternit Fassadentafeln Equitone Pictura & Natura PRO
2.3
Tech
nische Daten
Normbezogene Prüfungen für die CE-Kennzeichnung
erfolgen über Typenprüfung nach /DIN EN 12467/.
Bautechnische Daten
Bezeichnung
Wert
Einheit
Wärmeleitfähigkeit
Wasserdampfdiffusionswiderstandsza
hl nach /DIN 4108-4/, /EN ISO 12572/
Feuchtigkeitsausdehnung (lufttrocken
bis wassersatt)
0,06
350 /
140
W/(mK)
1
mm/m
Rohdichte
Druckfestigkeit
Biegezugfestigkeit ┴
Biegezugfestigkeit ǁ
Elastizitätsmodul
Ausgleichsfeuchtegehalt bei 23 °C,
80% Luftfeuchte
Temperaturdehnzahl
Chemische Beständigkeit
Alterungsbeständigkeit
Temperaturdauerbeständigkeit
-
1650 1800
50
24
17
15000
N/mm2
N/mm²
N/mm2
N/mm2
10
M.-%
0,01
*
*
< 80
mm/mK
°C
kg/m3
Trass (als Füllmaterial)
Zellstoff (als Filterfasern)
Polyvinylalkohol-Fasern (als
Armierungsfasern)
Farbe
6,0
2,5
%
%
3,5
%
6,5
%
Zusätzlich wird Anmachwasser für den Zement
benötigt: ca. 0,24 m³/t Faserzement.
Es werden keine REACH-relevanten Substanzen laut
Kandidatenliste vom 21.06.2013 bei der Produkti
on
eingesetzt.
*ähnlich wie Beton C 35/45 (ehemals B 45)
Schallschutz: Bei einer 200 mm dicken
Porenbetonwand mit Rw,R = 44 dB kann mit einer
vorgehängten hinterlüfteten Fassade mit 80 mm FaserDämmstoff und Bekleidung mit 8 mm Faserzement
eine Verbesserung der Luftschalldämmung von 9 bis
11 dB erzielt werden (nach /DIN 52210-6/).
2.4
Inverkehrbringung/Anwendungsregeln
Für das In Verkehr Bringen in der Europäischen Union
gilt die Verordnung (EU) Nr. 305/2011. Die Produkte
benötigen eine Leistungserklärung unter
Berücksichtigung der harmonisierten //DIN EN 12467/:
2006-12, Faserzement-Tafeln - Produktspezifikation
und Prüfverfahren; Deutsche Fassung EN 12467:2004
+ A1:2005 + A2:2006 / und die CE-Kennzeichnung.
Für die Verwendung gelten die nationalen Vorschriften,
z. B.Die Allgemeine bauaufsichtliche Zulassung Nr. Z31.1-34 des Deutschen Instituts für Bautechnik (DIBt).
2.5
Lieferzustand
Die Verpackung erfolgt in Form von
Standardpalettierungen laut Preisliste mit einem
Gewi
cht von 1 bis 2 Tonnen pro Palette, selten auch
über 2 Tonnen. Kleinaufträge (< 1 Tonne) werden
nach Kundenwunsch verpackt.
max. Format in mm: 3100 x 1250; 2500 x 1250
Dicke in mm: 8; 12
Oberfläche Pictura: glatt, in verschiedenen Farben
erhältlich
Oberfläche Natura PRO: glatt, in verschiedenen
Lasuren erhältlich
2.6
Grundstoffe/Hilfsstoffe
Grundstoffe in Masse-%, Trockenmasse)
Bezeichnung
Wert
Einheit
Portlandzement CEM I 32,5 R und
42,5 R nach /DIN EN 197-1/ (als
Bindemittel)
81,5
%
3
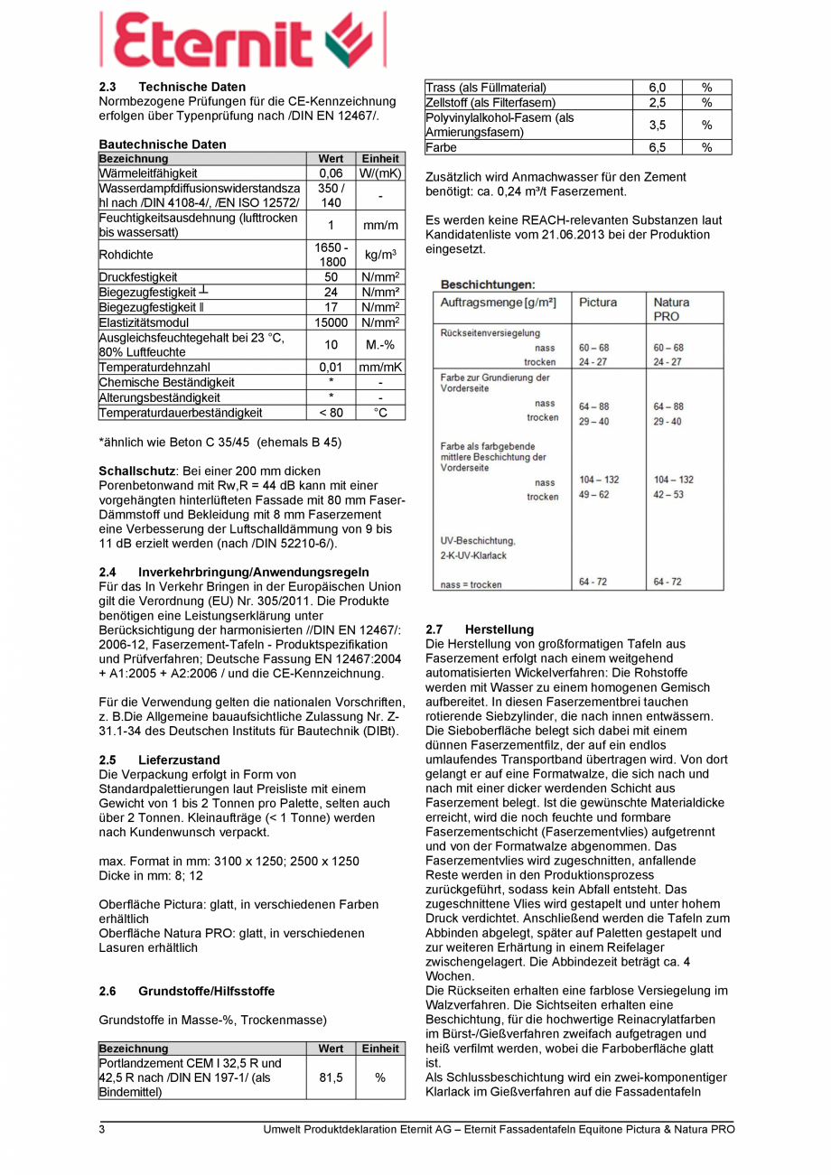
2.7
Herstellung
Die Herstellung von großformatigen Tafeln aus
Faserzement erfolgt nach einem weitgehend
automatisierten Wickelverfahren: Die Rohstoffe
werden mit Wasser zu einem homogenen Gemisch
aufbereitet. In diesen Faserzementbrei tauchen
rotierende Siebzylinder, die nach innen entwässern.
Die Sieboberfläche belegt sich dabei mit einem
dünnen Faserzementfilz, der auf ein endlos
umlaufendes Transportband übertragen wird. Von dort
gelangt er auf eine Formatwalze, die sich nach und
nach mit einer dicker werdenden Schicht aus
Faserzement belegt. Ist die gewünschte Materialdicke
erreicht, wird die noch feuchte und formbare
Faserzementschicht (Faserzementvlies) aufgetrennt
und von der Formatwalze abgenommen. Das
Faserzementvlies wird zugeschnitten, anfallende
Reste werden in den Produktionsprozess
zurückgeführt, sodass kein Abfall entsteht. Das
zugeschnittene Vlies wird gestapelt und unter hohem
Druck verdichtet. Anschließend werden die Tafeln zum
Abbinden abgelegt, später auf Paletten gestapelt und
zur weiteren Erhärtung in einem Reifelager
zwischengelagert. Die Abbindezeit beträgt ca. 4
Wochen.
Die Rückseiten erhalten eine farblose Versiegelung im
Walzverfahren. Die Sichtseiten erhalten eine
Beschichtung, für die hochwertige Reinacrylatfarben
im Bürst-/Gießverfahren zweifach aufgetragen und
heiß verfilmt werden, wobei die Farboberfläche glatt
ist.
Als Schlussbeschichtung wird ein zwei-komponentiger
Klarlack im Gießverfahren auf die Fassadentafeln
Um
welt Produktdeklaration Eternit AG – Eternit Fassadentafeln Equitone Pictura & Natura PRO
aufgetragen und anschließend eine Kunststofffolie mit
einer Mikrostruktur auf diesen Lack gewalzt.
Unmittelbar danach erfolgt die Härtung des Klarlacks
mittels UV-Licht-Strahlern. Nach der Erhärtung des
Klarlacks wird die Folie wieder abgezogen. Die in den
Klarlack eingeprägte Mikrostruktur sorgt für eine
seidenmatte Oberfläche und verhindert Spiegeleffekte.
Qualitätsmanagement:
Für die Produktionsstätte liegt eine TÜV-Zertifizierung
nach /ISO 9001:2008/ vor.
2.8
Umwelt und Gesundheit während der
Herstellung
Während des gesamten Herstellungsprozesses sind
keine über die rechtlich festgelegten
Arbeitsschutzmaßnahmen für Gewerbebetriebe
hinausgehenden Maßnahmen zum Gesundheitsschutz
erforderlich.
Luft: Entstehende Stäube werden in
Filteranlagen aufgefangen und teilweise
wiederverwertet. Die Emissionen liegen
deutlich unter den Grenzwerten der /TA Luft/.
Wasser/Boden: Di
e bei der Herstellung und
Anlagenreinigung anfallenden Wässer
werden in Abwasserbehandlungsanlagen auf
dem Werksgelände mechanisch geklärt und
wieder im Produktionsprozess eingesetzt.
Lärm: Die Lärmemissionen der
Produktionsanlagen an die Umgebung liegen
unter den zulässigen Grenzwerten.
Recycling Produktionsabfälle: Alle
ausgehärteten Faserzementabfälle aus
Zuschnitt bzw. Ausschussmaterial werden zu
100% ans Zementwerk Enningerloh zur
Zementrückgewinnung transportiert
(ca.10 km). Die Microstrukturfolie wird nach
der Verwendung komplett zerkleinert und als
Recyclingmaterial für die PVC-Herstellung
verkauft.
Umweltmanagement:
Für die Produktionsstätte liegt eine TÜV-Zertifizierung
nach /ISO 14001:2004/ vor.
2.9
Produktverarbeitung/Installation
Zur Bearbeitung stehen spezielle staubarm arbeitende
Geräte wie langsam laufende, hartmetallbestückte
Trennsägen oder -fräser bzw. handbetriebene
Werkzeuge wie Schlagschere, Lochzange usw. zur
Verfügung. Bohrungen könne
n mit normalen HSSBohrern ausgeführt werden. Konstruktiv notwendige
Zusatzprodukte für den Einbau der genannten
Produkte sind: Holz- oder
Aluminiumunterkonstruktionen einschließlich der
erforderlichen Verankerungs- und Verbindungsmittel
sowie Befestigungsmittel (Nieten, Schrauben, Nägel)
und Fugenbänder aus EPDM oder Aluminium. Die
Beurteilung dieser Zusatzprodukte ist nicht
Gegenstand dieser Deklaration. Bei der Auswahl
konstruktiv notwendiger Zusatzprodukte ist darauf zu
achten, dass diese die beschriebenen Eigenschaften
der Funktionalität der genannten Bauprodukte nicht
nachteilig beeinflussen.
Auf Wunsch werden die großformatigen Tafeln auch
verlegefertig geliefert, sodass auf der Baustelle nur
noch einzelne Passschnitte vorzunehmen sind.
Es gilt das Regelwerk der Berufsgenossenschaften.
4
Bei der Verarbeitung der genannten Produkte sind die
üblichen Arbeitsschutzmaßnahmen entsprechend der
Herstellerangaben einzuhalten. Zu beachten ist, dass
bei der Bearbeitung anfallende
n mit normalen HSSBohrern ausgeführt werden. Konstruktiv notwendige
Zusatzprodukte für den Einbau der genannten
Produkte sind: Holz- oder
Aluminiumunterkonstruktionen einschließlich der
erforderlichen Verankerungs- und Verbindungsmittel
sowie Befestigungsmittel (Nieten, Schrauben, Nägel)
und Fugenbänder aus EPDM oder Aluminium. Die
Beurteilung dieser Zusatzprodukte ist nicht
Gegenstand dieser Deklaration. Bei der Auswahl
konstruktiv notwendiger Zusatzprodukte ist darauf zu
achten, dass diese die beschriebenen Eigenschaften
der Funktionalität der genannten Bauprodukte nicht
nachteilig beeinflussen.
Auf Wunsch werden die großformatigen Tafeln auch
verlegefertig geliefert, sodass auf der Baustelle nur
noch einzelne Passschnitte vorzunehmen sind.
Es gilt das Regelwerk der Berufsgenossenschaften.
4
Bei der Verarbeitung der genannten Produkte sind die
üblichen Arbeitsschutzmaßnahmen entsprechend der
Herstellerangaben einzuhalten. Zu beachten ist, dass
bei der Bearbeitung anfallende
... ascunde
Alte documentatii ale aceleasi game Vezi toate
Catalog, brosura
20 p | RO
[pictura]
Catalog, brosura
16 p | RO
[pictura]